
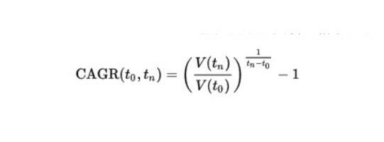
復合增長率的計算是通過總的增長率的n次方根來計算的,這里n則是就是特點時期內的年數。假如投入一個項目在2005年1月1日時候投資10000美元,在其后1年后2006年資產增長到了13000美元;2年后2007年后變為了14000美元,3年后2008年變為了19500美元。根據上述的計算公式,符合增長率則是使用末期的今日19500和首年的金額10000相比得出數值是1.95;而后使用1/(2008-2005)次冪,也就是計算年數的次方根,最后去掉1,1.95的1/3次冪是1.2493,具體公司為1.95^(1/3)=1.24931.2493-1=0.2493,也就是計算的復合增長率為24.93%。
上述就是復合增長率是什么意思以及計算公式,可以看出來這個計算并不是我們理解的那么簡單,需要花費一定的時間去了解。這種符合增長率的計算對于不同的投資組合來是非常好的計算標準,使用一個板塊以及1其他的市場指數的不同股票之間的表現,對于產業分析的時候,也能夠不涉及國家以及產業的差異,是一種客觀的評價標準。
符合增長率具備優勢的同時,也有一定的局現象。很多時候投資是不穩定的,在不同的時期的結果會出現顯著的不同。這是進行投資的時候必然是要考慮的問題。符合增長率對于歷史的數據的分析比較有效,不過對于未來預測就比較欠缺了。
具體復合增長率是什么意思就是上述內容,更多金融知識的學習關注贏家財富網。
上一篇:上市公司私有化股票怎么處理
下一篇:商品價格的形成的因素,股票
經營性網站備案信息
中國互聯網違法和不良信息舉報中心
本站帶寬由
河南網絡
網絡 110
服務中心:鄭州市金水區農業路經三路
郵編:450002 網址:m.belovediy.com
銷售熱線:0371-65350319
技術支持:13333833889