隨機指標的計算是根據每一個交易日股票價格波動過程中的最高價、最低價和收盤價計算出未成熟時機值RSVt,,然后再依此計算出%K、%Dt。和%Jt。計算程序如下:
1、計算未成熟時機值RSVt

其中:Ct為當日收盤價;Ln為n日內的最低價;Hn為n日內的最高價,n為計算期的設定值,一般設定為6日或9日。
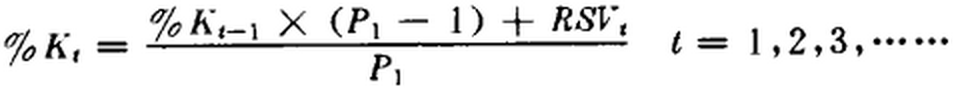
2、計算%K值

其中:%Kt-1為上一交易日的%K值;P1為計算%K值的參數,一般設定為3。
3、計算%D值

其中:%Dt-1為上一交易日的%D值;P2為計算%D值的參數,一般設定為3。
4、計算%J值

注意:第一個%K、%D值等于未成熟時機值RSVt。
上一篇:強弱指標在空頭市場中的運用
下一篇:隨機指標與股票投資策略
經營性網站備案信息
中國互聯網違法和不良信息舉報中心
本站帶寬由
河南網絡
網絡 110
服務中心:鄭州市金水區農業路經三路
郵編:450002 網址:m.belovediy.com
銷售熱線:0371-65350319
技術支持:13333833889